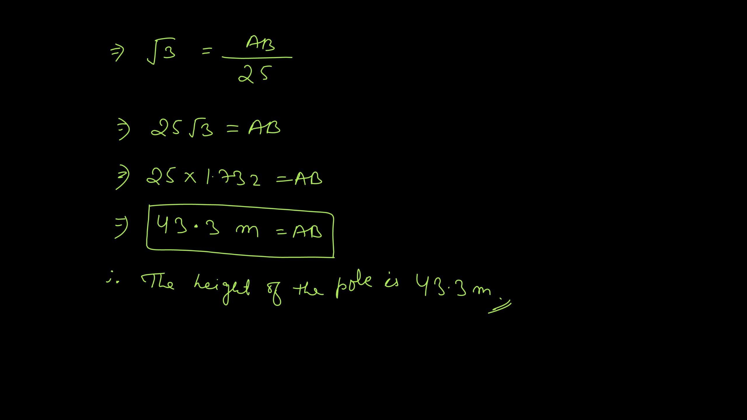
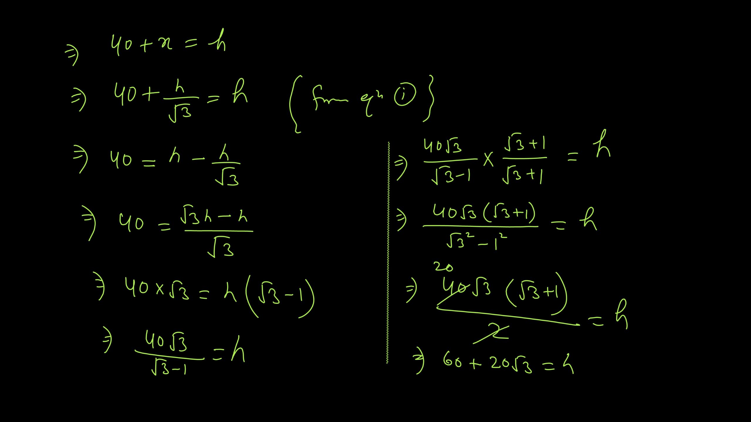
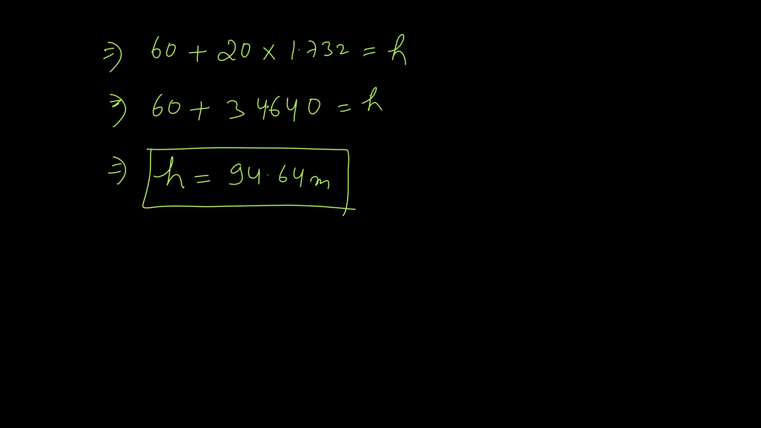
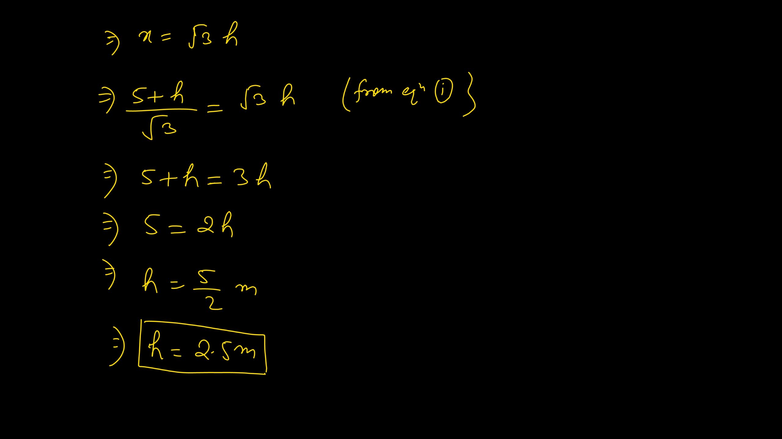
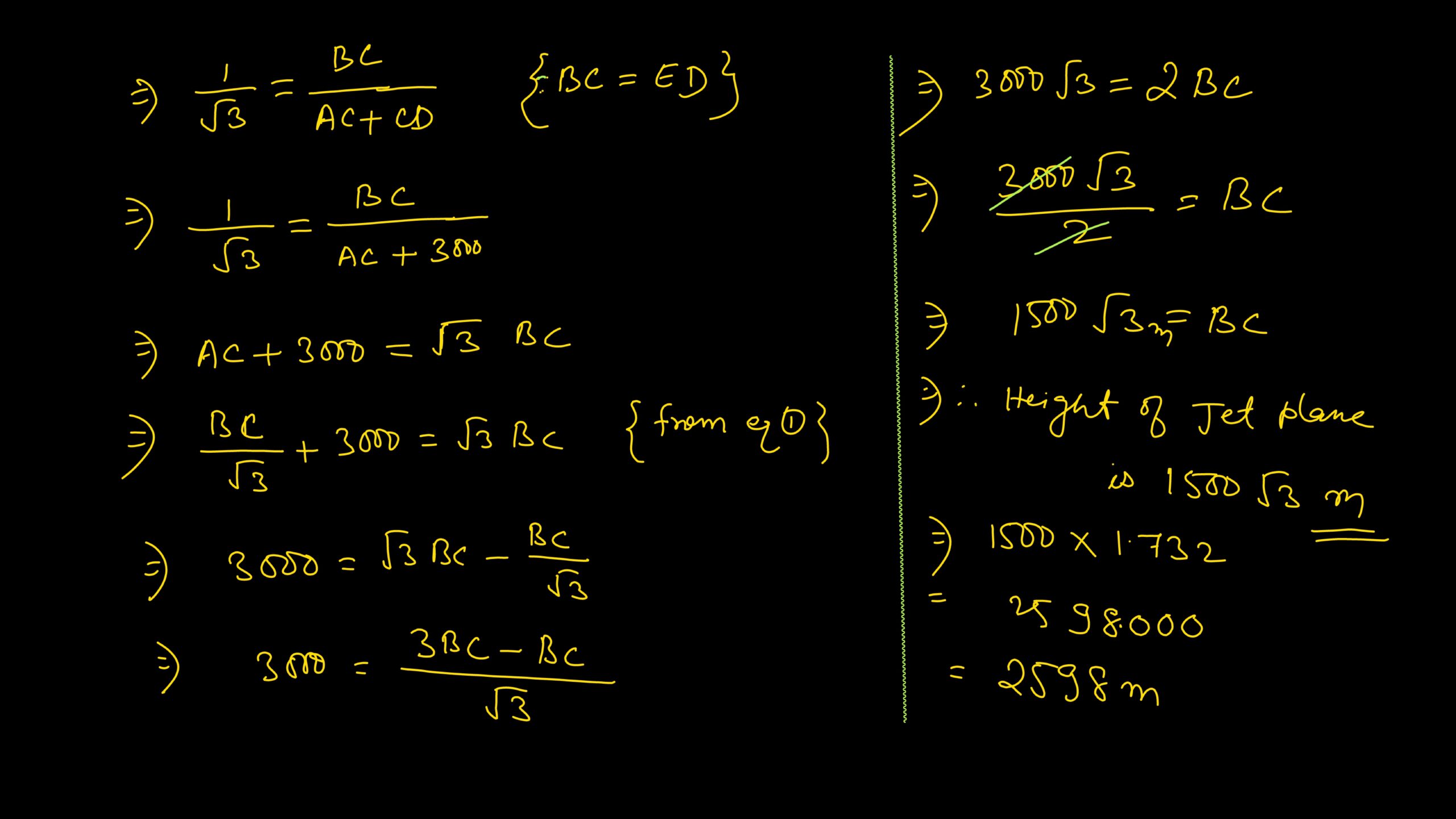
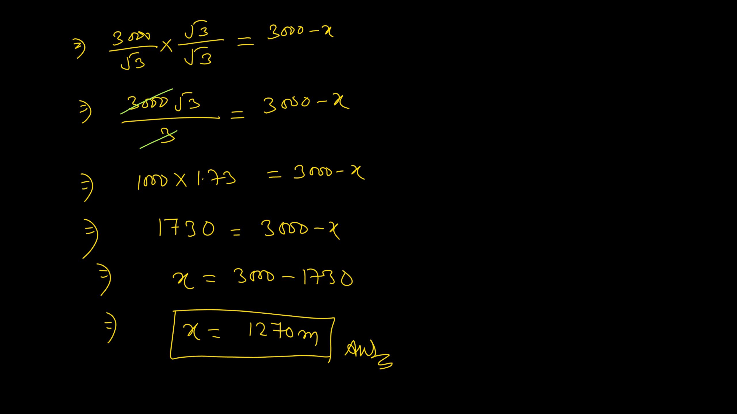
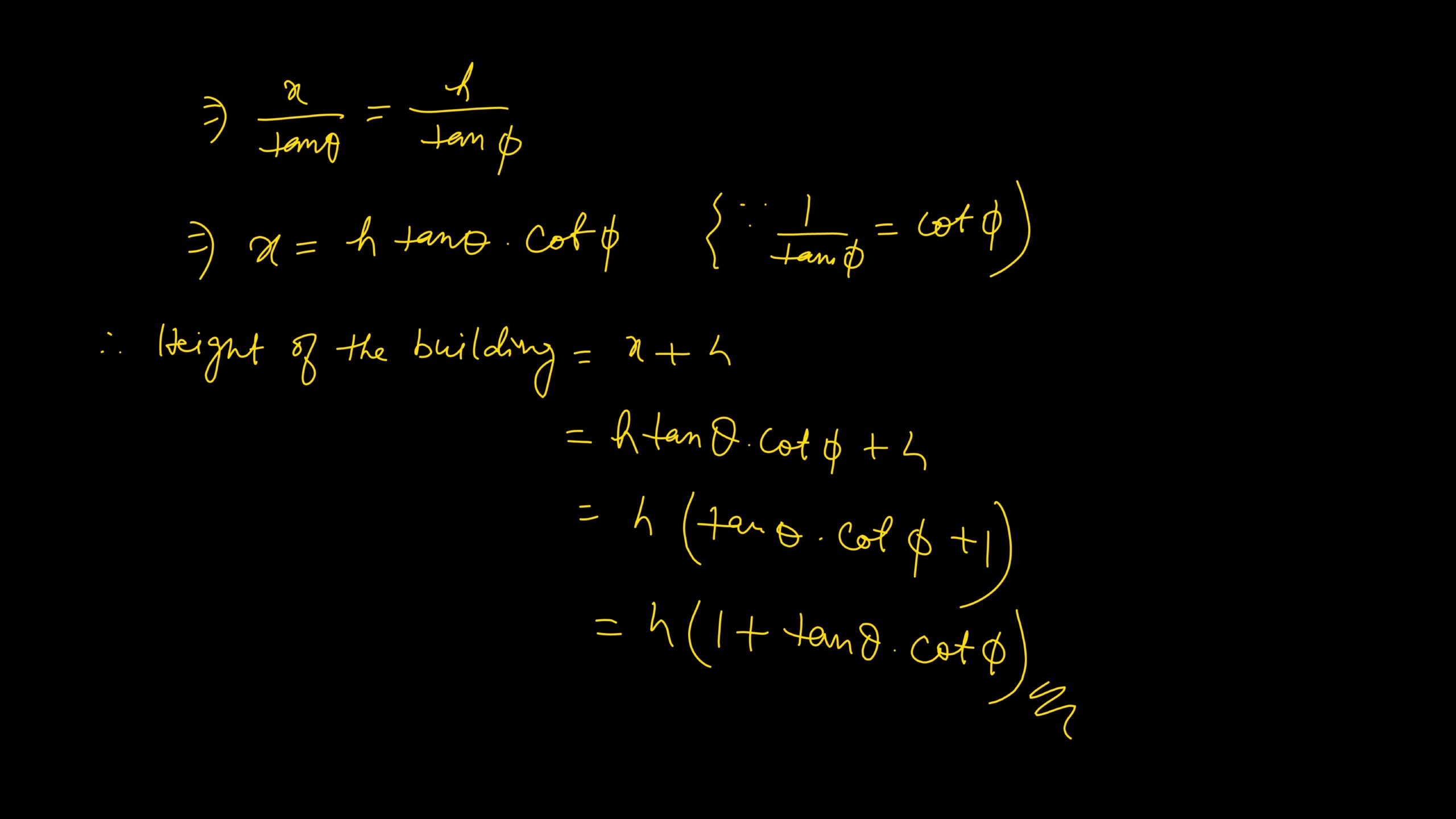
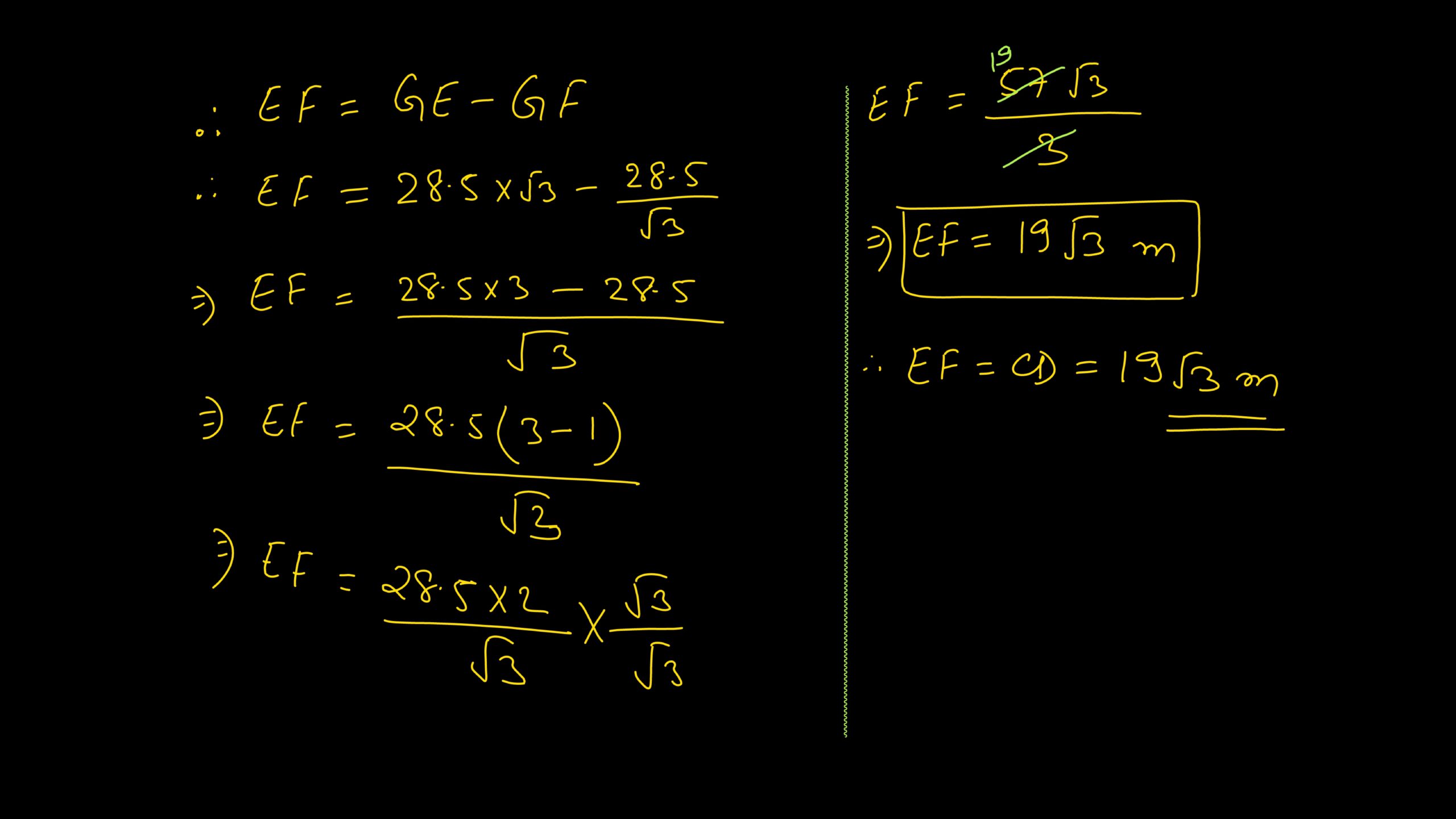
RS Aggarwal Exercise 14 Examples Height And Distances
iOTA CLASSES has been working for the last 6 years at youtube ( online mode) but from last year ( 2024) we are running both online and offline,
With the cooperation of students , parents , our colleagues and team, we have gained satisfactory results,
And working more enthusiastically for the better aspirations. image of 2024 class 10th result [CBSE and BSEB( ENG. Med)]

























































